2025 Stanford Advanced Materials College Scholarship Winner Announcement

We are delighted to announce that the recipient of the 2025 Stanford Advanced Materials College Scholarship is:
Brahmdutta Dixit
University of Minnesota Twin Cities
Department of Electrical and Computer Engineering, third-year Ph.D. Student
Dixit's research proposes a new design based on tungsten, tantalum, and niobium, which offers a method for improving the efficiency of spin-orbit torque (SOT) semiconductor devices and reducing the critical current density. His work provides valuable insights for developing future high-performance, low-power electronic devices.
Stanford Advanced Materials College Scholarship recognizes outstanding young scholars who have demonstrated exceptional innovation and intellectual prowess in materials research and application. We warmly congratulate Brahmdutta Dixit on this achievement and simultaneously extend our sincere gratitude to all the applicants. Thanks to the enthusiastic participation of so many distinguished scholars, the selection process itself became a high-level academic exchange, offering a glimpse into the exciting future of materials science.
For more details on our scholarship program and future opportunities, please click here.
We are delighted to receive a letter of appreciation from Brahmdutta Dixit.
Thank You Letter
Dear Stanford Advanced Materials Scholarship Committee,
I am writing to express my sincere gratitude for selecting me as the recipient of the 2025 Stanford Advanced Materials College Scholarship.
As a 3rd year Ph.D. student in Electrical & Computer Engineering at the University of Minnesota, my research centers on rare-earth metal spintronics from epitaxial Ni₄W to low-symmetry Weyl semimetals such as TaIrTe₄ and NbIrTe₄. In order to enable energy-efficient, field-free SOT-MRAM for next-generation computing. This recognition strengthens my resolve to pursue materials driven advances that lower write currents, improve reliability, and move spintronic memories closer to manufacturable reality.
Your support will make a direct, meaningful impact. It will help me to acquire critical lab supplies targets, substrates, and single crystals. Further it would help me present my findings at conferences and workshops, broadening collaboration and feedback.
Thank you as well for the high-quality sputtering targets you supplied to our lab in the past. These targets were instrumental in our recent high-performance spintronic devices. I gladly recommend Stanford Advanced Materials for targets and single crystals.
Thank you again for your generosity and for championing students working at the intersection of materials, science and electronics. I’m honored to represent the Stanford Advanced Materials scholar community.
Sincerely,
Brahmdutta Dixit
Ph.D. Candidate, Electrical & Computer Engineering
University of Minnesota Twin Cities, MN, USA
Winning Project:
Winner's Original Submission: Brahmdutta_Dixit_Stanford_Advanced_Materials_Scholarship_2025_Submission.pdf
Rare-Metal Spintronics: Ni₄W to TaIrTe₄/NbIrTe₄ Low-Symmetry Platforms for Deterministic MRAM
Abstract:
Spintronics is a fascinating field, rich in physics, that moves beyond charge control to store data. It harnesses the electron’s spin to develop high-endurance, low-energy, low-latency non-volatile memories (NVMs). Out of various generation of MRAM and switching mechanism [1] as shown in figure 1, there are two major classes of magnetic random-access memory (MRAM) adopted by industry: spin-transfer torque (STT) and spin–orbit torque (SOT). STT-MRAM has historically suffered from limited endurance and higher bit-error rates because it uses the same path for reading and writing. In contrast, SOT-MRAM mitigates these issues by separating the read and write paths. In SOT-MRAM there is a heavy metal channel to generate spin orbit coupling (SOC), rare metal enabled SOT devices promise ultra-low energy, field-free magnetic switching for next-generation NVM and probabilistic/AI hardware.
My current work focuses on different low-symmetry heavy metals like Ni4W, PtW (alloy) and low symmetry rare wely semi-metal chalcogenides like TaIrTe₄ and NbIrTe₄. Their high SOC, large work functions, and rich interfacial chemistry, helps to achieve deterministic switching of SOT MRAM.

Figure 1: (a) Generational landscape of MRAM: toggle, STT, thermally assisted, SOT, and optically assisted architectures. (b) Corresponding dynamical regimes: fs–ps (ultrafast demagnetization, spin relaxation, coherent precession), ps–ns (spin torques), ns–µs (domain-wall dynamics and STT), and beyond (thermal effects and magnetic retention) [1].
Building on this, using industry compatible magnetron sputtering, we grew high-quality epitaxial Ni₄W thin films and reported high SOT efficiency of 0.73 this work recently being published by Advanced Materials. Extending this now we are targeting Fermi-level tuning in Ni₄W via tungsten stoichiometry control and cobalt doping in Ni4W to align the electronic states with peaks in spin Hall conductivity (SHC), thereby enhancing SOT efficiency and reducing critical current density. In parallel, I fabricate exfoliated TaIrTe₄ and NbIrTe₄ 2D flakes-based Hall-bar devices to exploit their intrinsic low symmetry for unconventional spin polarization and gate-controllable switching.
Article
Rare metals such as tungsten (W), tantalum (Ta), and niobium (Nb) highlight today’s most promising spintronic based SOT-MRAM. When placed next to an ultrathin ferromagnet such as permalloy (Py) and CoFeB, these heavy elements convert charge current into transverse spin currents through strong SOC. The polarized injected spins can change the magnet’s state; this is the fundamental of SOT memory. Compared with conventional CMOS based NVMs like NAND flash, SOT devices offer non-volatility, nanosecond-class writes, and ultralow energy per bit, making them attractive for cache-like MRAM, edge AI accelerators, and probabilistic in-memory computing.
Two main issues have limited wide deployment of SOT-MRAM: (1) the critical current density (Jc) required for fast switching, and (2) required external magnetic field to break symmetry in perpendicular magnetic anisotropy (PMA) devices. In this article, I will try to explain how Ni₄W and low symmetry weyl semimetals (TaIrTe₄ and NbIrTe₄), directly address aforementioned issues, and it outlines an experimental roadmap of several projects that I am currently working on. In the end, I will talk about how my research bridges and covers the entire spectrum of material science to device fabrication and its application in industry.
1) Ni₄W based SOT source with built-in symmetry breaking:
In our recent study as shown in figure 2 (featured on front page of Advanced Materials Journal) [2,3], we found that Ni₄W is a tungsten-rich intermetallic. Its low-symmetry crystal orientations support multi-directional spin accumulation, which enables field-free switching of perpendicular magnetic tunnel junctions (p-MTJs) when interfaced correctly. Practically, this means we can eliminate permanent magnets or external field coils, which is critical for area, reliability, and power.
Beyond symmetry, Ni₄W can deliver high SOT efficiency which is 0.73. The figure of merit, the effective spin Hall angle or damping-like torque efficiency, depends sensitively on the electronic states around the Fermi level (EF). Peaks in the spin Berry curvature and “hot spots” in the band structure can amplify conversion from charge to spin.

Figure 2: Schematic view of Ni₄W(211)/CoFeB, emphasizing spins oriented in several directions. (b) Structural representation of Ni₄W tetragonal crystal. (c) XRD θ–2θ scan for Al2O3(0001)/W (2 nm)/Ni4W (30 nm)/CoFeB (5 nm)/cap. Inset: rocking curve of the Ni4W(211) reflection (FWHM = 0.084°). (d) Comparison of Ni₄W conventional (in-plane) and out-of-plane spin Hall angles with leading SOT materials. (e) Reciprocal-space map of the same stack, plotted in sapphire coordinates [2].
2) Fermi-level tuning with W stoichiometry and Co co-doping:
Currently, I am systematically tuning EF in Ni₄W by hole doping adjusting the tungsten content and introducing light cobalt (Co) co-doping.

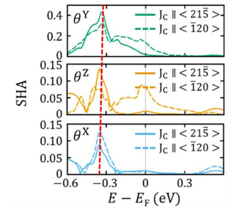
Figure 3: Spin Hall angles for Ni₄W(211). Green, yellow, and blue trace θY, θZ, and θX; solid vs dashed curves denote two orthogonal current directions. Here red dashed line shows to highest SHA that can be achieved for that specific fermi-level [2].
As shown in figure 3, the goal is to align EF with maximum in SHC (red dashed line), which should, (a) increase the damping-like torque efficiency (increasing the spin current delivered to the ferromagnet). (b) Lower Jc for nanosecond switching. (c) Preserve low resistivity and thermal stability needed for tight back-end-of-line (BEOL) integration. Like currently Globalfoundries has STT-MRAM on 22nm FDX and 28nm HKMG CMOS platform between M4-M5 metal line of BEOL.
3) My approach for Ni4W alloy and Co doped SOT study:
I deposit Ni₄W (211) on sapphire substrates using DC magnetron sputtering and target the orientations reported to maximize unconventional spin components. XRD/rocking-curve and reciprocal-space mapping ensure the desired texture, while AFM and TEM assess interface quality. Further, I perform UPS/XPS monitor work function and composition of Ni, W and Co in sputtered thin films. Then, I sputter a ferromagnetic layer like Py and CFB, for SOT measurement I do second-harmonic Hall and spin-torque FMR, I extract damping-like/field-like components. Further, using Hall bars and p-MTJs, I quantify switching probability vs pulse width, energy-delay scaling, and retention.
4) SOT study of low symmetry weyl semi-metals TaIrTe₄ and NbIrTe₄:
As shown in figure 4, rare metal Ta and Nb based alloy like TaIrTe₄ and NbIrTe₄, layered semimetals has intrinsically low crystalline symmetry. That low symmetry enables unconventional spin polarizations (including OOP z-spin) under in-plane current. This helps with field-free switching without additional symmetrical breaking layers.

Figure 4: (a) Crystal structure of weyl semi-metals TaIrTe4 and NbIrTe4. (b) The XRD data of TaIrTe4 from Co based X-ray machine. (c), (d) Microscopic image of patterned hall bar device of TaIrTe4/Py/Ru stack before etching and after etching respectively.
I mechanically exfoliate TaIrTe₄ and NbIrTe₄ flakes from single crystals onto insulating pre patterned Si/SiO2 substrates, sputter Py or CoFeB ferromagnetic layer and patterned into Hall bars via e-beam lithography, complete process flow has been compiled in figure 5. With these hall bar devices, I perform second-harmonic Hall, measure unidirectional spin-magnetoresistance (USMR) signal, and explore electrostatic gating (HfO₂/Al₂O₃ dielectrics) to modulate volage control magnetic anisotropy and electric field effect.

Figure 5: Process flow of hall bar fabrication of TaIrTe/Py/Ru stack devices for second harmonic and USMR measurements.
5) Integration of voltage control effects like Voltage Control Magnetic Anisotropy:
In our recent study [4], as shown in figure 6, we have shown that tuning the underlayer work function beneath CoFeB/MgO can markedly amplify VCMA. In W/PtxW1−x/CoFeB/MgO stacks, increasing Pt content raises the metal’s work function and electron-depletes the CoFeB/MgO interface at equilibrium, which enhances the electric-field response of interfacial anisotropy. UPS and XPS confirm the work-function shift and interfacial charge transfer. By tuning Pt content, we achieved a VCMA coefficient up to ~ 8× larger than a pure W control, with the best performance at Pt77W23.
6) Applications and impact:
My projects on novel low-symmetric materials like Ni4W, TaIrTe4 and NbIrTe4 will help industry to adapt SOT-MRAM for caches and embedded memory. Field-free stacks based on these rare metals remove external fields and simplify periphery circuits. With optimized doping and crystal symmetry the energy per bit can reach the femtojoule regime which directly helps in reducing data center power consumption.

Figure 6: (a) Cross-sectional schematic of the gated Hall-bar device. (b) Energy-level alignment for CoFeB in the flat band limit when paired with W, Pt₇₇W₂₃, or Pt and schematic of electron depletion from CoFeB/MgO into a high work-function PtₓW₁₋ₓ underlayer at thermal equilibrium. (c) Distribution plots (box plots) of Ki and VCMA for varying PtxW1−x alloys used as underlayers [4].
These novel SOT-MRAM devices can also be used in probabilistic and in-memory computing. By controlling switching probability via pulse width and gate voltage, these MRAM devices act as p-bits or weighted samplers which is further useful in optimization and generative AI accelerators.
CMOS based NVMs have issues with radiation in space exploration activities. SOT-MRAM provided a pathway to secure and radiation-hard electronics. Magnetic bits resist soft errors; rare metal-based stacks are robust at temperature and under radiation, important for aerospace.
Through these research studies we can anticipate following outcomes such as: (i) a dopant/stoichiometry map for maximizing SOT in Ni₄W, (ii) field-free switching in exfoliated low-symmetry semimetals, and (iii) integration pathways for reliable, manufacturable SOT MRAM and stochastic computing. More broadly, the project highlights how rare metals (W, Ta, Nb) can be engineered at the band-structure level to deliver sustainable, high-impact electronics, advancing both fundamental spintronics and practical memory technologies.
Biography
Brahmdutta Dixit is a 3rd year PhD graduate researcher in the Nano Magnetism & Quantum Spintronics Lab at the University of Minnesota Twin-Cities, Minnesota, USA. He has six years of combined industry and academic experience across device physics, materials science, and spintronics. His current work centers on rare-metal spintronics: epitaxial Ni₄W as a multi directional SOT source; Fermi-level tuning via W stoichiometry and Co co-doping to enhance torque efficiency and reduce write current; and exfoliated TaIrTe₄/NbIrTe₄ Hall-bar devices for field-free switching. He integrates thin-film growth with XRD/UPS/XPS, ST-FMR, second harmonic Hall, AHE/USMR, and co-designs SOT with Voltage Control Magnetic Anisotropy (VCMA) and Voltage Control Exchange Coupling (VCEC) toward few-fJ MRAM operations. Previously, he served as a Device/Integration Engineer at GlobalFoundries (yield and process improvements across 14nm FinFET, 28 nm HKMG and 40 nm NVM) and as an Advanced Technology Validation intern at Advanced Micro. Devices (AMD) (methodology and yield correlation on leading-edge nodes like 3nm and 5nm FinFET). Earlier at the University of Würzburg, Germany he worked on MBE-grown HgTe/CdHgTe/Py 3D topological-insulator stacks. A B.Tech gold medalist from Mizoram University, he has co-authored papers in Advanced Materials, Advanced Functional Materials, Physics Reports and ACS Nano.
References:
[1] Dikshit, Surya Narain, Arshid Nisar, Brahmdutta Dixit, et.al. "Optically assisted ultrafast spintronics: A review." Physics Reports 1140 (2025): 1-46. (IF: 29.5)
[2] Yang, Yifei, Seungjun Lee, Yu‐Chia Chen, Qi Jia, Brahmdutta Dixit, et al. "Large Spin‐Orbit Torque with Multi‐Directional Spin Components in Ni4W." Advanced Materials (2025): 2416763. (IF: 26.8)
[3] Yang, Yifei, Seungjun Lee, Yu‐Chia Chen, Qi Jia, Brahmdutta Dixit et al. "Large Spin‐Orbit Torque with Multi‐Directional Spin Components in Ni4W (Adv. Mater. 32/2025)." Advanced Materials 37, no. 32 (2025): e70089. (Cover Page)
[4] Chen, Yu-Chia, Thomas Peterson, Qi Jia, Yifei Yang, Shuang Liang, Brandon R. Zink, Yu Han Huang, Deyuan Lyu, Brahmdutta Dixit, and Jian-Ping Wang. "Large and Tunable Electron-Depletion-Based Voltage-Controlled Magnetic Anisotropy in the CoFeB/MgO System via Work-Function-Engineered Pt x W1–x Underlayers." ACS nano 19, no. 16 (2025): 15953-15962. (IF: 16.0)
Bars
Beads & Spheres
Bolts & Nuts
Crucibles
Discs
Fibers & Fabrics
Films
Flake
Foams
Foil
Granules
Honeycombs
Ink
Laminate
Lumps
Meshes
Metallised Film
Plate
Powders
Rod
Sheets
Single Crystals
Sputtering Target
Tubes
Washer
Wires
Converters & Calculators
Chin Trento


